Maple Review
Wiki
Wiki
Dictionary
Idiom
Character search
Word Link Tree
Chinese Expert
Knowledge Tree
Chinese English
English Chinese
Language Converter
Time Channel
Dynasty
Country
Today in History
Read
Poems
Novel
History
Wiki
Prose
Tourism
Drama
Search
User
Password
Sign in
Register
English
简体
繁體
pīnyīn
My
Picture
My Map
Collections
I remember
Poems
Novel
History
Wiki
Prose
Tourism
Drama
Maple Review
Feedback
About us
Contextual Help
Help
My pictures
My personal picture group
Personnel
Collections
Dynasty
Country
Works
Poetry
Phrase
Idiom
Events
songs and music
Shared Works
Shared poems
Contextual Help
News
Chinese character
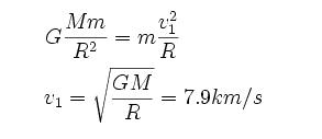
Pic Title:
Escape Velocity
Related Phrase:
逃逸速度
Source:
http://a4.att.hudong.com/
Pic Description:
01300000013093121264613141018_ ... 01300000013093121264613141018_ ...
Translated by Google
No.
/ 2 Picture
Comments
(0)