科学院院士杨振宁,竟还能写一手好欧楷,意不意外?
谭华书法 3/8

杨振宁的简介就不赘述了,他轰动国人除了其傲人的科学贡献,还有就是他在82岁迎娶了28岁的姑娘。而且从上世纪50年代一直火到现在,整整60余年。

其实,杨振宁不仅仅这些,鲜为人知的是他还是抗日名将杜聿明的女婿,杜维明酷爱书法,杨振宁深受岳父感染,也练的一手好字!

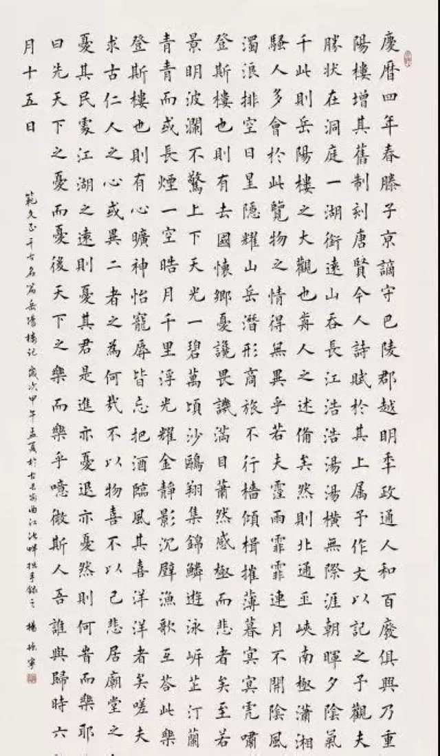
杨振宁楷书
杨振宁曾称赞启功先生的书法很美,问启功先生:“我的岳父杜聿明,您认识吗?他也很喜欢书法,字写得也很好!”
启功先生说:“我当然认识,杜老有一件好东西《万岁通天帖》,我也见过,摹王羲之的手卷,是真的王羲之,太好了!”
杨振宁说:“我没有见过!”
启先生说:“这个贴现在在辽宁博物馆收藏着”。

杨振宁岳父、抗日名将——杜聿明书法

杨振宁楷书
据不完全统计,杨振宁为中国协助或者直接建立一流物理实验室60余座,为清华大学和南开大学一共筹集约20亿美金的科研经费。他以清华大学的名义发表SCI论文30多篇,将冷原子、凝聚态物理科研水平一下子提高了几十年,为我国在世界科学界争得了巨大荣誉。 杨振宁利用自己的影响,推荐1200多名青年学者出国访问、深造,绝大多数都归国成为科学界的栋梁之才。
据朱邦芬院士在南开大学讲:杨振宁在清华大学的年薪为人民币100万元,但他分文不取,捐给了他1997年亲自创办的清华大学高等研究中心。他变卖掉了自己在美国纽约的一处豪华住宅,向清华捐了100万美元。在清华大学,他设立了“杨振宁讲座”,“杨振宁奖学金”,“杨振宁基金会”,并亲自担任高等研究中心名誉主任,基金会主席。
杨振宁楷书

杨振宁楷书

杨振宁楷书

版权说明:以上文章源于签约作家或网络,网络素材无从查证作者,如有侵权可联系我们予以公示或删除!